Lei Ordinária nº 876, de 23 de dezembro de 2025

Identificação Básica

Norma Jurídica

Lei Ordinária

876

2025

23 de Dezembro de 2025

Altera os anexos da Lei de Diretrizes Orçamentárias para o exercício de 2026

a A
ALTERA OS ANEXOS DA LEI DE DIRETRIZES ORÇAMENTÁRIAS PARA O EXERCÍCIO DE 2026
    A Câmara Municipal de Urucuia - MG, aprova e eu, Prefeito Municipal, sanciono a seguinte Lei:
      Art. 1º. 
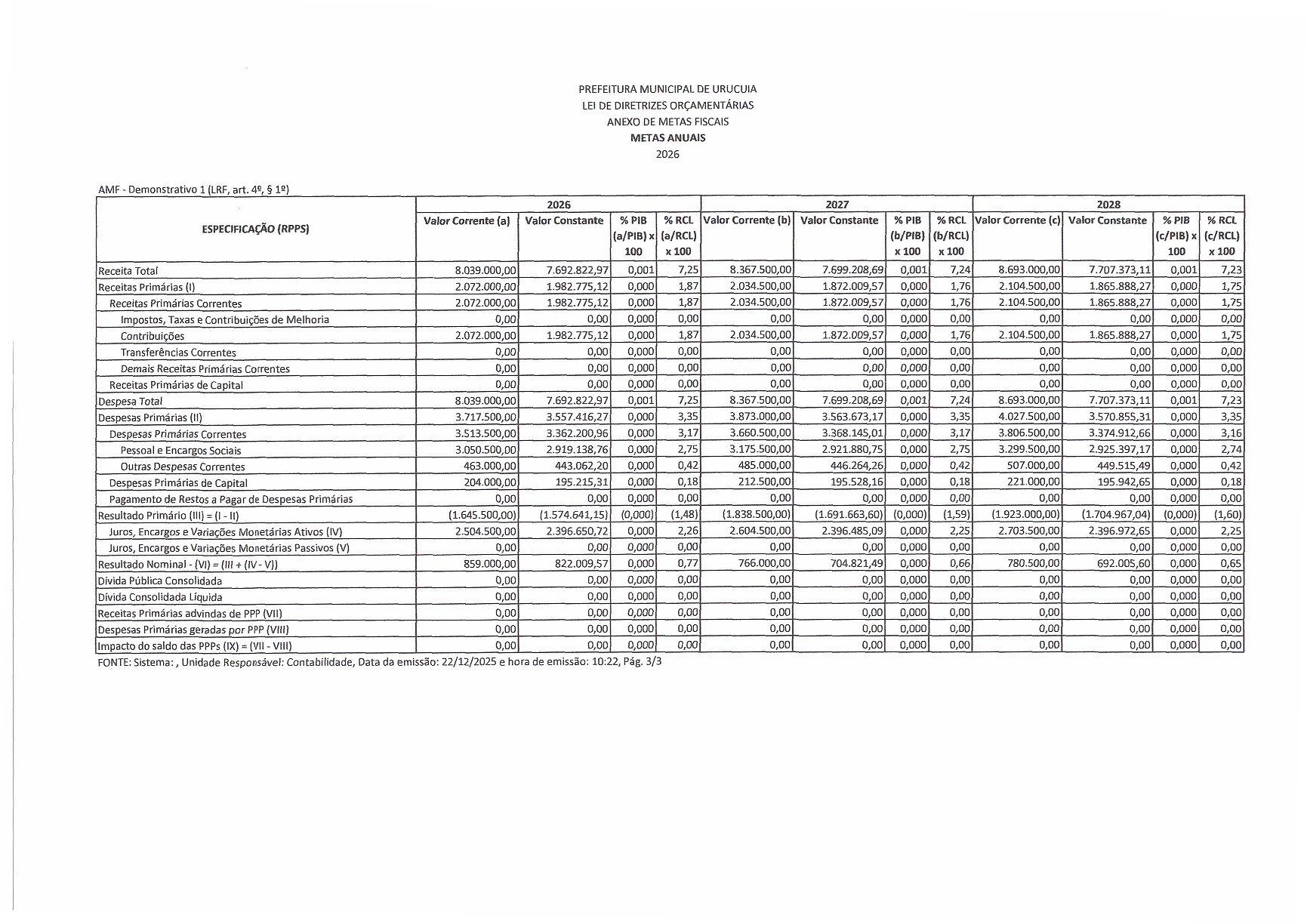
      Os Anexos de Metas Fiscais, Anexo I - Metas Anuais e Anexo III - Metas Fiscais Anuais Comparadas com as Fixadas nos Três Exercícios Anteriores da Lei de Diretrizes Orçamentárias para o exercício de 2026, ficam alterados, parcialmente, de acordo com o conteúdo dos respectivos anexos desta Lei considerando a necessidade de se manter a compatibilidade da Lei de Diretrizes Orçamentárias com o Plano Plurianual e a Lei Orçamentária Anual do Município.
        Art. 2º. 
        Revogadas as disposições em contrário, esta Lei entra em vigor na data de sua publicação.

           

          Urucuia/MG, 23 de dezembro de 2025

           

           

          JOSÉ AILSON DANTAS QUEIROZ
          PREFEITO MUNICIPAL

             
               
                 
                   
                     
                       
                         
                           
                             
                               
                                 
                                   
                                     
                                       
                                         
                                           
                                             
                                               
                                                 
                                                   
                                                     
                                                       
                                                         
                                                           
                                                             
                                                               
                                                                 
                                                                   
                                                                     
                                                                       
                                                                         
                                                                           
                                                                             
                                                                               
                                                                                 
                                                                                   
                                                                                     
                                                                                       
                                                                                         
                                                                                           
                                                                                             
                                                                                               
                                                                                                 
                                                                                                   
                                                                                                     
                                                                                                       

                                                                                                         

                                                                                                        "Este texto não substitui o texto original"